zum Hauptmenü
Wienbibliothek im Rathaus
Wienbibliothek im Rathaus
MENU
Detailsuche
Schnellsuche:
OK
Menü
Klassifikation
Lesesaal der Wünsche
Adressbücher
(Stadt-)Geschichte und Ereignisse
Stadtpläne und -karten
Orte
Personen
Wirtschaft und Verkehr
Kultur und Literatur
Alltagsleben
Musik
Buch- und Verlagswesen
Stadtverwaltung
Korrespondenzen
Partezettel
Vermählungsanzeigen
Wienbibliothek
Titel
Titel
Übersicht
Thumbs
Seite
Seite
Im Dokument suchen
Erste Seite
Vorige Seite
Gehe zu Seite
[1]
[2]
[3]
[4]
[5]
[6]
[7]
[8]
[9]
[10]
[11]
[12]
[13]
[14]
[15]
[16]
[17]
[18]
[19]
[20]
[21]
[22]
[23]
[24]
[25]
[26]
[27]
[28]
[29]
[30]
[31]
[32]
[33]
[34]
[35]
[36]
[37]
[38]
[39]
[40]
[41]
[42]
[43]
[44]
[45]
[46]
[47]
[48]
[49]
[50]
[51]
[52]
[53]
[54]
[55]
[56]
Nächste Seite
Letzte Seite
Wird geladen ...
Buch
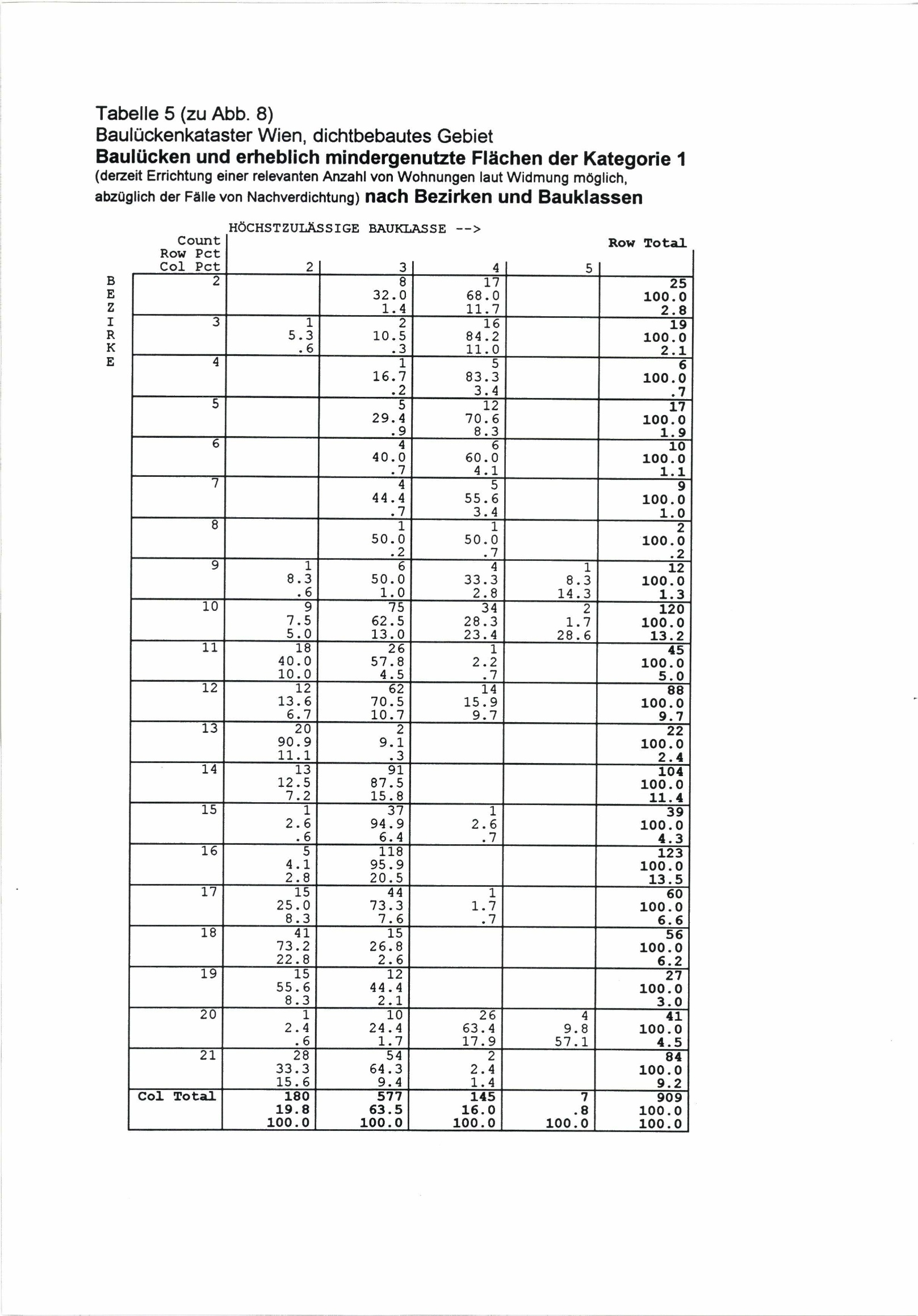
Baulückenkataster für das dichtbebaute Wiener Stadtgebiet / Herausgeber: Magistratsabteilung 18, Gruppe Grundlagen, Stadtforschung: Manfred Schopper [und 1 weitere] ; Redaktion und Gesamtbearbeitung: Robert Eigler
Entstehung
Wien
1996
Rechtsdrehung 90°
Linksdrehung 90°
Einzelbild herunterladen
verfügbare Breiten
JPEG klein
JPEG groß
JPEG größer